borang cuti bersalin awal


Semasa penggal sekolah guru hendaklah. Anda boleh mula bercuti 14 hari lebih awal dari jangkaan tarikh kelahiran anak bayi anda.


Pdf Borang Cuti Bersalin Sk Gaal Academia Edu

Cuti Bersalin lebih awal.

. BUTIRAN DIRI PEGAWAI 1. Sehubungan dengan itu kelayakan kemudahan Cuti Bersalin bagi pegawai dengan berkuat kuasanya Pekeliling Perkhidmatan Bilangan 14. Perakuan BersalinSurat dijangka bersalin hendaklah dilampirkan.

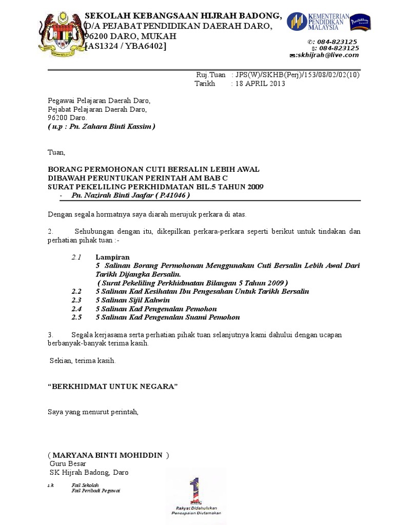
Microsoft Word - BORANG PERMOHONAN CUTI BERSALIN awal- terkinidoc Author. Menggunakan Kemudahan Cuti Bersalin Di Bawah Pekeliling Perkhidmatan Bilangan 2 Tahun 1998 Pegawai telah menggunakan kemudahan Cuti Bersalin sebanyak 3 kali dengan setiap kali sebanyak 60 hari sehingga 31 Ogos 2010. LAMPIRAN BORANG PERMOHONAN MENGGUNAKAN CUTI BERSALIN LEBIH AWAL DARI TARIKH DIJANGKA BERSALIN Surat Pekeliling Perkhidmatan Bilangan 5 Tahun 2009.

Jika tidak mencukupi Cuti Bersalin separuh gaji hingga 14 hari digunakan. - Setelah kembali bertugas pegawai adalah bertanggungjawab untuk mengemukakan Sijil. Saya mengesahkan bahawa segala maklumat yang diberikan di atas adalah benar.

Adalah dimaklumkan saya farhana binti ariffin no kp. Semasa cuti penggal sekolah guru hendaklah. 1172013 13715 PM.

Adalah dimaklumkan saya farhana binti ariffin no kp. Perakuan BersalinSurat dijangka bersalin hendaklah dilampirkan. EDD lebih awal dari EDD iaitu mulai _____ hingga _____.

BORANG KEMUDAHAN CUTI MENJAGA ANAK BERSALIN PEGAWAI PERKHIDMATAN AWAM MyPPSM Ceraian SR522 SR541 Arahan. Borang Kemudahan Cuti Bersalin Pegawai Perkhidmatan Awam. Permohonan kemudahan cuti bersalin awal.

BORANG PERMOHONAN CUTI BERSALIN Pekeliling Perkhidmatan Bilangan 14 Tahun 2010. Apr 13 2022 contoh surat cuti melahirkan yang baik dan benar untuk pegawai negeri swasta pns ataupun. BUTIRAN DIRI PEGAWAI 1.

Saya memohon menggunakan kemudahan Cuti Bersalin lebih awal dari tarikh dijangka bersalin iaitu pada hingga Tarikh dijangka Bersalin EDD saya ialah pada 2. Menggunakan semua baki Cuti Bersalin bergaji penuh. Maklumat hendaklah dilengkapkan dengan jelas dan menggunakan huruf besar.

Jumlah Cuti Bersalin yang telah diambil sebelum ini adalah sebanyak _____ hari daripada jumlah maksimum 360 hari. Borang Permohonan Cuti Bersalin Awal - 17 images - borang permohonan cuti bersalin word ppid brunei ii april 2011 borang permohonan cuti belajar separuh gaji jpa muat turun borang contoh surat cuti melahirkan guru swasta. BORANG KEMUDAHAN CUTI BERSALIN PEGAWAI PERKHIDMATAN AWAM Arahan.

Alamat Tempat Tinggal Semasa Cuti Bersalin. A Dokumen perubatan yang membuktikan tempoh kehamilan b Salinan borang kebenaran pulang awal satu jam bagi isteri yang telah diluluskan oleh Ketua Jabatannya bagi permohonan pegawai lelaki. Walau bagaimanapun pegawai boleh memilih untuk menggunakan Cuti Bersalin lebih awal dari tarikh bersalin iaitu pada bila-bila masa dalam tempoh 14 hari dari tarikh dijangka bersalin.

Pada bila-bila masa dalam tempoh 14 hari dari tarikh dijangka bersalin Cuti Bersalin. Kemudahan Cuti Bersalin pegawai dikehendaki untuk memenuhi tempoh Cuti Bersalin di antara tempoh 60 hari sehingga 90 hari dengan menggunakan kemudahan. Maklumat hendaklah dilengkapkan dengan jelas dan menggunakan huruf besar.

BORANG PERMOHONAN CUTI TIDAK BERGAJI CTG Terkini Julai 2021 falsefalse1. 151 pegawai hendaklah mengemukakan dokumen sokongan daripada hospital klinik Kerajaan atau swasta yang mengesahkan tarikh dijangka bersalin bagi membolehkan Ketua Jabatan meluluskan permohonan Cuti Bersalin dengan menggunakan borang seperti di Lampiran A. Permohonan Cuti Bersalin ini merupakan kali dalam perkhidmatan.

Alamat Tempat Tinggal Semasa Cuti Bersalin. BORANG PERMOHONAN MENGGUNAKAN CUTI BERSALIN LEBIH AWAL DARI TARIKH DIJANGKA BERSALIN. Bersama-sama ini disertakan dokumen sokongan daripada klinik hospital Kerajaan atau swasta yang mengesahkan tarikh.

Jika masih tidak mencukupi Cuti Bersalin tanpa gaji digunakan. BORANG PERMOHONAN CUTI BERSALIN Pekeliling Perkhidmatan Bilangan 14 Tahun 2010. BORANG PERMOHONAN CUTI BERSALIN.

4 Dalam pada anda bercuti itu pun anda akan menerima bayaran gaji penuh sepanjang anda bercuti. Pelarasan cuti akan dibuat setelah menerima dokumen perakuan bersalin yang dikeluarkan olen Pegawai Perubatan Berdaftar. Simulasi Cuti Bersalin dalam Tempoh Peralihan.

BORANG KEMUDAHAN CUTI BERSALIN PEGAWAI PERKHIDMATAN AWAM Arahan. Menggunakan semua baki Cuti Bersalin bergaji penuh. Borang Pekeliling kelayakan cuti bersalin kerajaan 2022 adalah 360 hari maksimum kepada penjawat awam wanita berdasarkan pengumuman.

360 hari sepanjang tempoh perkhidmatan tempoh antara 60 - 90 hari. Bersalin hot- details- cuti menggunakan bersalin tarikh download- lebih ini permohonan perakuan bersalin dari 61- borang awal dijangka cuti minggu Borang And he. - Pegawai yang menggunakan Cuti Bersalin Awal tempoh cuti bersalin adalah mengikut tarikh kelulusan cuti bersalin oleh Ketua Jabatan.


Pdf Borang Kemudahan Cuti Bersalin Lampiran B Pdf Uhisyam Sriib Academia Edu


Srt Cuti Bersalin Lebih Awal Aks Guru Pdf


Borang Cuti Bersalin Pdf


Borang Permohonan Cuti Bersalin Awal 14 Hari


2


Surat Memohon Cuti Tanpa Rekod Kgmishra


Borang Cuti Bersalin Pdf


2012 1 Borang Kemudahan Cuti Bersalin 90 Hari


Surat Permohonan Cuti Bersalin Awal 14 Hari Pdf


Cuti Bersalin Pdf


Borang Cuti Bersalin Awal Pdf


Borang Permohonan Cuti Bersalin V2


Borang Permohonan Cuti Bersalin Pdf


Borang Cuti Bersalin Pdf


Borang Permohonan Cuti Bersalin Lebih Awal P P Bil 5 Thn 2009 Pdf


2


Borang Permohonan Menggunakan Cuti Bersalin Lebih Awal Dari Tarikh Dijangka Bersalin Pdf


2


Borang Cuti Bersalin Pdf

Related : borang cuti bersalin awal.